1. Перегляньте відео та повторіть вивчений матеріал
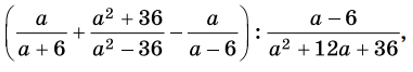
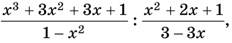
2. Знайдіть значення виразу
6. Інтерактивні вправи на повторення
Раціональні вирази Додавання та віднімання дробів з однаковими знаменниками Додавання та віднімання дробів з різними знаменниками Множення дробів. Піднесення дробу до степеня Ділення дробів Тотожні перетворення раціональних виразів Раціональні рівняння Властивості степеня із цілим показником Раціональні вирази Множення дробів. Піднесення дробу до степеня Ділення дробів
якщо a = 31 та дізнайтеся скільки років тримався попередній світовий рекорд із легкоатлетики.
Перейдіть за покликанням та дізнайтесь більше про Ярославу Магучіх, яка 7 липня 2024 року установила новий світовий рекорд зі стрибків у висоту – 2 м 10 см.
Ярослава Магучіх
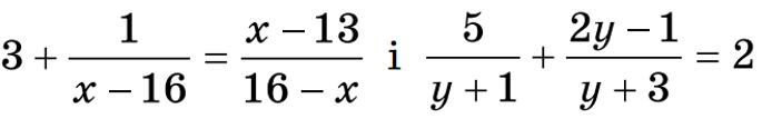
3. Розв’яжіть рівняння
Знайдіть значення виразу 100х + 18у та дізнайтеся, у якому році українка Катерина Логвинівна Ющенко розробила концепцію першої у світі формальної мови адресного програмування.
Перейдіть за покликанням та дізнайтесь більше про Ющенко Катерину Логвинівну.
Катерина Ющенко
4. Розв’яжіть рівняння
та знайдіть значення виразу 100х + 19у, відтак дізнаєтеся рік заснування Національного університету «Острозька академія» - одного із найстаріших навчальних закладів Європи і найстарішого в Україні.
Екскурсія Острозькою академією
5. Обчисліть значення виразу
якщо х = 2026, відтак дізнаєтеся, скільки разів українські футболісти отримували «Золотий м’яч» - нагорода найкращому футболісту Європи. З інтернету дізнайтеся прізвища цих футболістів.
Властивості степеня із цілим показником
7. Відновіть знання, переглянувши відео
Арифметичний квадратний корінь. Тотожність (√a)^2=a, a≥0. Рівняння x^2=a Властивості арифметичного квадратного кореня. Тотожні перетворення виразів, що містять квадратні корені
8. Перевірте свої знання, виконавши інтерактивні вправи
Арифметичний квадратний корінь Тотожність (√a)^2=a, a≥0. Рівняння x^2=a: Тотожність (√a)^2=a, a≥0. Рівняння x^2=a: Властивості арифметичного квадратного кореня Тотожні перетворення виразів, що містять квадратні корені Тотожні перетворення виразів, що містять квадратні корені
9. Пригадайте матеріал, переглянувши відео
Квадратні рівняння. Неповні квадратні рівняння Формула коренів квадратного рівняння Теорема Вієта Квадратний тричлен. Розкладання квадратного тричлена на лінійні множники
10. Розв’яжіть рівняння
Нехай x -  найбільший корінь першого рівняння, y – найбільший корінь другого рівняння. Знайдіть значення виразу 600у + 2х, відтак дізнайтеся рік заснування Харківського національного університету імені В.Н. Каразіна.
Перейдіть за покликанням та дізнайтесь більше про Харківського національного університету імені В.Н. Каразіна.
Харківський національний університет імені В.Н. Каразіна
11. Закріпіть матеріал, виконавши інтерактивні вправи
Квадратні рівняння. Неповні квадратні рівняння Формула коренів квадратного рівняння Теорема Вієта Квадратний тричлен. Розкладання квадратного тричлена на лінійні множники Квадратний тричлен. Розкладання квадратного тричлена на лінійні множники
РОЗДІЛ 1. УЗАГАЛЬНЕННЯ ТА СИСТЕМАТИЗАЦІЯ ЗНАНЬ ЗА КУРС АЛГЕБРИ 8 КЛАСУ