1. Перегляньте відео та ознайомтеся із темою
2. Запишіть числа у порядку спадання
3. Виконайте інтерактивні вправи
Числові нерівності. Доведення нерівностей. Числові нерівності. Правильні, неправильні Доведення нерівностей Встановити відповідність Класифікуй нерівності
Перейдіть за покликанням та дізнайтесь більше про творчий доробок Катерини Білокур та назву відомої картини на ілюстрації.
Катерина Білокур Порівняння натуральних чисел. Числові нерівності Основні властивості числових нерівностей
5. Виконайте інтерактивні вправи для закріплення вивченого матеріалу
Числові нерівності та їх властивості Числові нерівності. Основні властивості числових нерівностей Числові нерівності. Основні властивості числових нерівностей Обери правильний розв'язок Пройдіть вікторину
6. Навчайтеся легко: навчальні відео
Почленне додавання і множення нерівностей Почленне додавання і множення нерівностей
7. Інтерактивні вправи для самоперевірки та практики
Вікторина Числові нерівності. Тренажер Додавання і множення числових нерівностей Додавання і множення числових нерівностей Додавання і множення числових нерівностей
8. Відеоурок
Нерівності зі змінними. Розв’язок нерівності
9. Інтерактивні вправи для вдосконалення навичок
Знаходження розв'язків нерівностей зі змінними Нерівності зі змінними Нерівності зі змінними
10. Пориньте у тему, переглянувши відео
Числові проміжки Обʼєднання та переріз числових проміжків
11. Закріплення матеріалу через інтерактивні вправи
Знайди пару Нерівності Числові проміжки Числові проміжки Правильна відповідь
12. Перегляньте відео, щоб опанувати тему
Нерівності зі змінними. Лінійні нерівності з однією змінною Рівносильні нерівності Розв’язування нерівностей, які зводяться до лiнiйних
Нехай х0 – найменший натуральний розв’язок нерівності
Знайдіть добуток 90х0, відтак дізнаєтеся у якому році було прийнято «Конституцію прав і свобод війська Запорозького» Пилипа Орлика – першу конституцію у світовій історії.
Перейдіть за покликанням та дізнайтесь більше про життєвий шлях Пилипа Орлика.
Пилип Орлик
14. Виконайте інтерактивні вправи, щоб закріпити матеріал
Розв'яжи лінійну нерівність Розв’яжи лінійні нерівності з однією змінною Нерівності Нерівності Самостійна робота «Лінійні нерівності з однією змінною»
15. Відеоматеріал та огляд теми
Системи лінійних нерівностей з однією змінною, їх розв’язування
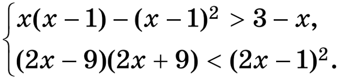
Український борець греко-римського стилю Жан Беленюк має унікальну колекцію нагород з міжнародних турнірів. Розв’яжіть систему нерівностей.
Знайдіть добуток 100х0, де х0 – найбільший цілий розв’язок нерівності, відтак дізнаєтеся, у якому році Жан здобув свою найвищу нагороду – став олімпійським чемпіоном.
Перейдіть за покликанням та дізнайтесь більше про Жана Беленюка.
Жан Беленюк Системи лінійних нерівностей з однією змінною До кожної системи знайди її розв'язок Знайдіть пару: систему і її розв'язок
4. Перегляньте навчальне відео
13. Розв’яжіть задачу
16. Розв’яжіть систему нерівностей
17. Інтерактивні вправи для закріплення матеріалу
РОЗДІЛ 2. НЕРІВНОСТІ